User Interface Tutorial

Approximate Domenico Solution: 3D Dispersion, Continuous Input, First-Type Boundary Condition


This case applies when the aquifer extends infinitely far in all three dimensions from the x=0 plane. A schematic is shown below. The velocity is uniform in the +x direction. There is a rectangular plane source of contaminants (also called a "patch source") centered at the origin; the source extends from -Y/2 to +Y/2 in the horizontal transverse (y) direction and from -Z/2 to +Z/2 in the vertical (z) direction. The source concentration is fixed at Co.

Domen_3d_Following Anchor1

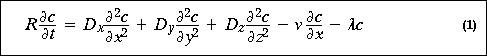
We assume that the solute can adsorb to the soil, and that the linear equilibrium adsorption model applies. We also assume that the aqueous-phase contaminant undergoes first-order decay, and that the aquifer is homogeneous. The governing equation for this case is:

Domen_3d_Equation2

Domen_3d_textfig0

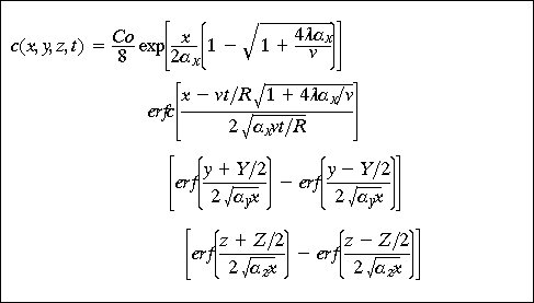
The exact solution to the governing equation (1) with the rectangular patch source conditions is given as an integral that cannot be expressed in a closed form. This solution is presented by Sagar (1982). [The 2D case is presented by Cleary and Ungs (1978).] Domenico and co-workers developed a closed-form approximate solution to this problem based upon several simplifying assumptions that are described in detail in their papers (Domenico and Robbins, 1985; Domenico, 1987). Due to the nature of their approximations, the solution is not valid at short times close to the source. In particular, the following restrictions should be considered:

Domen_3d_Equation1

In order to evaluate the applicability of the approximate Domenico solution, we allow the user to perform a direct comparison between the exact Cleary-Ungs solution and the approximate Domenico solution for the two dimensional case. The 2D interactive model applet is used for this comparison.

The approximate Domenico solution is given as (Domenico, 1987; Wiedemeier et al. 1999):

Domen_3d_Equation0

where erf( ) is the error function and erfc( )=1-erf() is the complementary error function.

References

Cleary, R.W. and M.J. Ungs, Analytical models for groundwater pollution and hydrology, Princeton Univ. Water Resources Program Rept. 78-WR-15, 1978.

Domenico, P., An analytical model for multidimensional transport of a decaying contaminant species, J. Hydrology, 91, 49-58, 1987.

Domenico, P. and G. Robbins, A new method of contaminant plume analysis, Ground Water, 23(4), 476-485, 1985.

Sagar, B., Dispersion in three dimensions: Approximate analytical solutions. ASCE J. Hydraulics Div., 108(HY1), 47-62, 1982.

Wiedemeier, T.H., H.S. Rifai, C.J. Newell, and J.T. Wilson, Natural Attenuation of Fuels and Chlorinated Solvents in the Subsurface, John Wiley & Sons, New York, 1999.


Domen_3d_Following Anchor0